某实验室有天平一架,砝码一盒。因保管不慎,导致其中若干砝码生锈,测得一个标称值为1kg的砝码质量的实际值为1.0003kg,使用该砝码进行测量时:其相...

作者: rantiku 人气: - 评论: 0
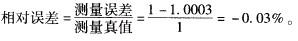
问题 某实验室有天平一架,砝码一盒。因保管不慎,导致其中若干砝码生锈,测得一个标称值为1kg的砝码质量的实际值为1.0003kg,使用该砝码进行测量时: 其相对误差是( )。 A.-0.06% B.-0.03% C.0.03% D.0.06%
选项
答案 B
解析 相对误差是指测量误差与被测量真值之比。当被测量值相差较大时,用相对误差才能进行有效的比较。

猜你喜欢

发表评论
更多 网友评论0 条评论)
暂无评论

访问排行

Copyright © 2012-2014 恰考网 Inc. 保留所有权利。 Powered by tikuer.com

页面耗时0.0452秒, 内存占用1.02 MB, Cache:redis,访问数据库16次