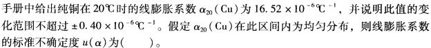
A. 0. 20 x10-6℃ B. 0. 22 x10-6℃ C. 0. 23 x10-6℃ D. 0. 25 x x10-6℃

作者: rantiku 人气: - 评论: 0
问题 A. 0. 20 x10-6℃ B. 0. 22 x10-6℃ C. 0. 23 x10-6℃ D. 0. 25 x x10-6℃
选项
答案 C
解析

猜你喜欢

发表评论
更多 网友评论0 条评论)
暂无评论

访问排行

Copyright © 2012-2014 恰考网 Inc. 保留所有权利。 Powered by tikuer.com

页面耗时0.0353秒, 内存占用1.03 MB, Cache:redis,访问数据库20次