对数字多用表的直流电压量程进行检定,按照制造厂规定的办法,由多功能校准器输出10V直流电压加到被校数字多用表,用以检定其20V量程的准确特性。以为多功能校...

作者: rantiku 人气: - 评论: 0
问题 对数字多用表的直流电压量程进行检定,按照制造厂规定的办法,由多功能校准器输出10V直流电压加到被校数字多用表,用以检定其20V量程的准确特性。以为多功能校准器 输出的10V电压非常稳定,当加到被校数字多用表上后,数字多用表指示的电压值保持不 变,故记录的读数只有10.0001V。因此,测量结果的A类标准不确定度分量不评定。 数字多用表在20V量程时的分辨力为100μV(即最低为有效数字),则由分辨力引起的标 准不确定度分量为( )。
选项
答案 C
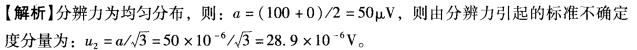
解析

猜你喜欢

发表评论
更多 网友评论0 条评论)
暂无评论

访问排行

Copyright © 2012-2014 恰考网 Inc. 保留所有权利。 Powered by tikuer.com

页面耗时0.0296秒, 内存占用1.03 MB, Cache:redis,访问数据库18次