某投资者签订了一份期限为9个月的沪深300指数远期合约,该合约签订时沪深300指数为2000点,年股息连续收益率为3%,无风险连续利率为6%,则该远期合约...

作者: rantiku 人气: - 评论: 0
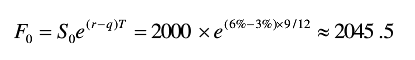
问题 某投资者签订了一份期限为9个月的沪深300指数远期合约,该合约签订时沪深300指数为2000点,年股息连续收益率为3%,无风险连续利率为6%,则该远期合约的理论点位为()。
选项 A、2015.5 B、2045.5 C、2455.5 D、2055
答案 B
解析 合约签订时该远期合约的理论点位FO为:
发表评论
更多 网友评论0 条评论)
暂无评论
错误啦!

错误信息

  • 消息: [程序异常] : MISCONF Redis is configured to save RDB snapshots, but it's currently unable to persist to disk. Commands that may modify the data set are disabled, because this instance is configured to report errors during writes if RDB snapshotting fails (stop-writes-on-bgsave-error option). Please check the Redis logs for details about the RDB error.
  • 文件: /twcms/kongphp/cache/cache_redis.class.php
  • 位置: 第 85 行
    <?php echo 'KongPHP, Road to Jane.'; ?>