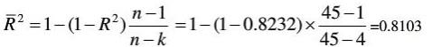
在n=45的一组样本估计的线性回归模型,包含有4个解释变量,若计算的R为0.8232,则调整的R为( )。A、0.8011B、0.8103C、0....

作者: rantiku 人气: - 评论: 0
问题 在n=45的一组样本估计的线性回归模型,包含有4个解释变量,若计算的R为0.8232,则调整的R为( )。
选项 A、0.8011 B、0.8103 C、0.8060 D、0.8232
答案 B
解析

猜你喜欢

发表评论
更多 网友评论0 条评论)
暂无评论

访问排行

Copyright © 2012-2014 恰考网 Inc. 保留所有权利。 Powered by tikuer.com

页面耗时0.0374秒, 内存占用1.03 MB, Cache:redis,访问数据库20次