从一批零件中抽出100个测量其直径,测得平均直径为5.2cm,标准差为1.6cm,想知道这批零件的直径是否服从标准直径5cm,因此采用t检验法,那么在显著...

作者: rantiku 人气: - 评论: 0
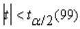
问题 从一批零件中抽出100个测量其直径,测得平均直径为5.2cm,标准差为1.6cm,想知道这批零件的直径是否服从标准直径5cm,因此采用t检验法,那么在显著性水平α下,接受域为( )。
选项
答案 C
解析 采用,检验法进行双边检验时,因为, 所以在显著性水平“下,接受域为

猜你喜欢

发表评论
更多 网友评论0 条评论)
暂无评论

访问排行

Copyright © 2012-2014 恰考网 Inc. 保留所有权利。 Powered by tikuer.com

页面耗时0.0566秒, 内存占用1.03 MB, Cache:redis,访问数据库19次