在期权定价理论中,根据布莱克一斯科尔斯模型,决定欧式看涨期权价格的因素主要有( )。Ⅰ.期权的执行价格Ⅱ.期权期限Ⅲ.股票价格波动率Ⅳ.无...

作者: rantiku 人气: - 评论: 0
问题 在期权定价理论中,根据布莱克一斯科尔斯模型,决定欧式看涨期权价格的因素主要有( )。 Ⅰ.期权的执行价格 Ⅱ.期权期限 Ⅲ.股票价格波动率 Ⅳ.无风险利率 Ⅴ.现金股利
选项 A、Ⅰ.Ⅱ.Ⅲ.Ⅳ.Ⅴ B、Ⅰ.Ⅱ.Ⅲ.Ⅳ C、Ⅱ.Ⅲ.Ⅳ.Ⅴ D、Ⅰ.Ⅲ.Ⅳ.Ⅴ
答案 B
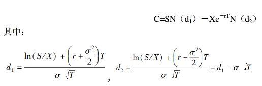
解析 根据布莱克一斯科尔斯模型,如果股票价格变化遵从几何布朗运动,那么欧式看涨期权的价格C为: S为股票价格,X为期权的执行价格,T为期权期限,r为无风险利率,e为自然对数的底((2.718),σ为股票价格波动率,N (d1)和N(d2)为d1和d2标准企态分布的概率。根据模型,股票欧式期权的价值由五个因素决定:股票的市场价格、期权执行价格、期权距离到期的时间、无风险利率以及标的的股票的波动率。

猜你喜欢

发表评论
更多 网友评论0 条评论)
暂无评论

访问排行

Copyright © 2012-2014 恰考网 Inc. 保留所有权利。 Powered by tikuer.com

页面耗时0.0439秒, 内存占用1.03 MB, Cache:redis,访问数据库18次