回归系数βi在(1-α)%的置信水平下的置信区间为( )。

作者: rantiku 人气: - 评论: 0
问题 回归系数βi在(1-α)%的置信水平下的置信区间为( )。
选项
答案 B
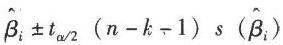
解析 除了对回归系数进行检验外,还可以求出各回归系数的置信区间。一般回归系数βi在(1-α)%的置信水平下的置信区间为: 其中, 为回归系数估计值,n为样本数,k为自变量个数。

猜你喜欢

发表评论
更多 网友评论0 条评论)
暂无评论
错误啦!

错误信息

  • 消息: [程序异常] : MISCONF Redis is configured to save RDB snapshots, but it's currently unable to persist to disk. Commands that may modify the data set are disabled, because this instance is configured to report errors during writes if RDB snapshotting fails (stop-writes-on-bgsave-error option). Please check the Redis logs for details about the RDB error.
  • 文件: /twcms/kongphp/cache/cache_redis.class.php
  • 位置: 第 85 行
    <?php echo 'KongPHP, Road to Jane.'; ?>