资本市场线在以预期收益和标准差为坐标轴的平面上,表示风险资产的最优组合与一种无风险资产再组合的组合线。下列各项中属于资本市场线方程中的参数的是( )(...

作者: rantiku 人气: - 评论: 0
问题 资本市场线在以预期收益和标准差为坐标轴的平面上,表示风险资产的最优组合与一种无风险资产再组合的组合线。下列各项中属于资本市场线方程中的参数的是( ) (1)市场组合的期望收益率 (2)无风险利率 (3)市场组合的标准差 (4)风险资产之间的协方差
选项 A、(1)(2)(3) B、(2)(3)(4) C、(1)(2)(4) D、(1)(2)(3)(4)
答案 A
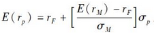
解析 资本市场线的方程为: 其中,E(rp)为有效组合p的期望收益率;σp为有效组合p的标准差,E(rm)为市场组合M的期望收益率,σM为市场组合M的标准差,rf为无风险证券收益率。

猜你喜欢

发表评论
更多 网友评论0 条评论)
暂无评论

访问排行

Copyright © 2012-2014 恰考网 Inc. 保留所有权利。 Powered by tikuer.com

页面耗时0.0684秒, 内存占用1.03 MB, Cache:redis,访问数据库20次