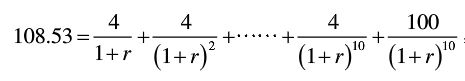
某债券面值100元,每半年付息一次,利息4元,债券期限为5年,若一投资者在该债券发行时以108.53元购得,其实际的年收益率是()。A、5.88%B、...

作者: rantiku 人气: - 评论: 0
问题 某债券面值100元,每半年付息一次,利息4元,债券期限为5年,若一投资者在该债券发行时以108.53元购得,其实际的年收益率是()。
选项 A、5.88% B、6.09% C、6.25% D、6.41%
答案 B
解析 半年收益率计算公式为: 得出:r=3%,则实际年收益率=(1+r)2-1=6.09%。

猜你喜欢

发表评论
更多 网友评论0 条评论)
暂无评论

访问排行

Copyright © 2012-2014 恰考网 Inc. 保留所有权利。 Powered by tikuer.com

页面耗时0.0738秒, 内存占用1.03 MB, Cache:redis,访问数据库19次