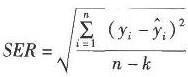
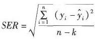
对一般的多元线性回归方程,其标准差表达为式中的k为( )。Ⅰ.方程中的参数个数Ⅱ.自变量数加上一个常数项Ⅲ.一元线性回归方程中k=2Ⅳ.二...

作者: rantiku 人气: - 评论: 0
问题 对一般的多元线性回归方程,其标准差表达为式中的k为( )。 Ⅰ.方程中的参数个数 Ⅱ.自变量数加上一个常数项 Ⅲ.一元线性回归方程中k=2 Ⅳ.二元线性回归方程中k=2
选项 A、Ⅰ.Ⅱ.Ⅲ B、Ⅰ.Ⅱ.Ⅳ C、Ⅰ.Ⅲ.Ⅳ D、Ⅱ.Ⅲ.Ⅳ
答案 A
解析 一般的多元线性回归方程,其标准差表达为: 式中:k=方程中的参数个数(该数等于自变量数加上一个常数项)。注意,一元线性回归方程中k=2. D项二元线性回归方程中k=3

猜你喜欢

发表评论
更多 网友评论0 条评论)
暂无评论

访问排行

Copyright © 2012-2014 恰考网 Inc. 保留所有权利。 Powered by tikuer.com

页面耗时0.0403秒, 内存占用1.03 MB, Cache:redis,访问数据库18次