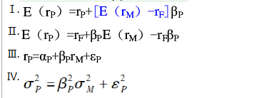
证券市场线可以表示为()。A、Ⅰ.Ⅱ.ⅣB、Ⅱ.Ⅲ.ⅣC、Ⅰ.Ⅱ.ⅢD、Ⅰ.Ⅲ.Ⅳ

作者: rantiku 人气: - 评论: 0
问题 证券市场线可以表示为()。
选项 A、Ⅰ.Ⅱ.Ⅳ B、Ⅱ.Ⅲ.Ⅳ C、Ⅰ.Ⅱ.Ⅲ D、Ⅰ.Ⅲ.Ⅳ
答案 C
解析 D项衡量的是证券或组合的风险。

猜你喜欢

发表评论
更多 网友评论0 条评论)
暂无评论

访问排行

Copyright © 2012-2014 恰考网 Inc. 保留所有权利。 Powered by tikuer.com

页面耗时0.0436秒, 内存占用1.03 MB, Cache:redis,访问数据库19次