某上市公司拟在未来无限时期每年支付每股股利2元,相应的贴现率(必要收益率)为10%,该公司股价18元,计算该股票的净现值为()元。A、-2B、2C...

作者: rantiku 人气: - 评论: 0
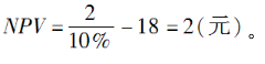
问题 某上市公司拟在未来无限时期每年支付每股股利2元,相应的贴现率(必要收益率)为10%,该公司股价18元,计算该股票的净现值为()元。
选项 A、-2 B、2 C、18 D、20
答案 B
解析

猜你喜欢

发表评论
更多 网友评论0 条评论)
暂无评论

访问排行

Copyright © 2012-2014 恰考网 Inc. 保留所有权利。 Powered by tikuer.com

页面耗时0.0346秒, 内存占用1.03 MB, Cache:redis,访问数据库14次