某公司年末会计报表上部分数据为:流动负债80万元,流动比率为3,速动比率为1.6,营业成本150万元,年初存货为60万元,则本年度存货周转率为( )次。A...

作者: rantiku 人气: - 评论: 0
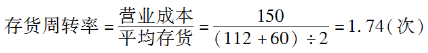
问题 某公司年末会计报表上部分数据为:流动负债80万元,流动比率为3,速动比率为1.6,营业成本150万元,年初存货为60万元,则本年度存货周转率为( )次。
选项 A、1.60 B、2. 50 C、3.03 D、1.74
答案 D
解析 流动资产=流动负债流动比率=803=240(万元),速动资产=流动负债速动比率=801.6=128(万元),年末存货=流动资产-速动资产=240-128=112(万元)

猜你喜欢

发表评论
更多 网友评论0 条评论)
暂无评论

访问排行

Copyright © 2012-2014 恰考网 Inc. 保留所有权利。 Powered by tikuer.com

页面耗时0.0451秒, 内存占用1.03 MB, Cache:redis,访问数据库20次