某一次还本付息债券面值100元,期限3年,票面利率5%,发行价格为101元,则其复利到期收益率为( )。A. 1.151/3-1 B. 1. 141/...

作者: rantiku 人气: - 评论: 0
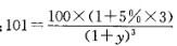
问题 某一次还本付息债券面值100元,期限3年,票面利率5%,发行价格为101元,则其复利到期收益率为( )。 A. 1.151/3-1 B. 1. 141/3-1 C. 1.851/3-1 D. 1. 911/3-1
选项
答案 B
解析 因为该债券为一次还本利息,根据到期收益率的计算公式得:,求得:到期收益率:y=1. 141/3-1。

猜你喜欢

发表评论
更多 网友评论0 条评论)
暂无评论

访问排行

Copyright © 2012-2014 恰考网 Inc. 保留所有权利。 Powered by tikuer.com

页面耗时0.0310秒, 内存占用1.02 MB, Cache:redis,访问数据库13次