如果证券A的投资收益率等于7%、9%、10%和12%的可能性大小是相同的,那么,( )。A.证券A的期望收益率等于9.5% B.证券A的期望收益率等于...

作者: rantiku 人气: - 评论: 0
问题 如果证券A的投资收益率等于7%、9%、10%和12%的可能性大小是相同的,那么,( )。 A.证券A的期望收益率等于9.5% B.证券A的期望收益率等于9.0% C.证券A的期望收益率等于1.8% D.证券A的期望收益率等于1.2%
选项
答案 A
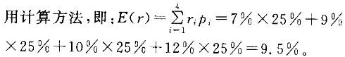
解析 可以用观察法,由于四个投资收益率是等可能的,所以证券A的期望收益率为这四项的平均数,明显的可以判断出A项正确。或者采

猜你喜欢

发表评论
更多 网友评论0 条评论)
暂无评论

访问排行

Copyright © 2012-2014 恰考网 Inc. 保留所有权利。 Powered by tikuer.com

页面耗时0.0282秒, 内存占用1.03 MB, Cache:redis,访问数据库19次