某无息债券的面值为1 000元,期限为2年,发行价为880元,到期按面值偿还。该债券的到期收益率为( )。 A. 6% B. 6. 6%C. ...

作者: rantiku 人气: - 评论: 0
问题 某无息债券的面值为1 000元,期限为2年,发行价为880元,到期按面值偿还。该债券的到期收益率为( )。 A. 6% B. 6. 6% C. 12% D. 13.2%
选项
答案 B
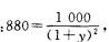
解析 债券的到期收益率的计算公式为:式中:P——债券价格;C——现金流金额;:y——到期收益率;T——债券期限(期 数)t——现金流到达时间(期)。将题中数据代入公式得得 y = 6. 6%。

猜你喜欢

发表评论
更多 网友评论0 条评论)
暂无评论

访问排行

Copyright © 2012-2014 恰考网 Inc. 保留所有权利。 Powered by tikuer.com

页面耗时0.0300秒, 内存占用1.03 MB, Cache:redis,访问数据库18次