在一个封闭的经济体里,计算CPI的最终产品只有A、B两种商品,比重为2:3。基准年A商品的价格为1.2元,B商品的价格为1.8元。2011年,A商品的价格...

作者: rantiku 人气: - 评论: 0
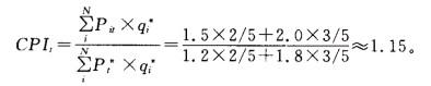
问题 在一个封闭的经济体里,计算CPI的最终产品只有A、B两种商品,比重为2:3。基准年A商品的价格为1.2元,B商品的价格为1.8元。2011年,A商品的价格变为1.5元;B商品的价格为2.0元,则该年度CPI为( )。 A.1.20 B.1.18 C.1.15 D.1.13
选项
答案 C
解析 根据CPI的计算公式,可得:

猜你喜欢

发表评论
更多 网友评论0 条评论)
暂无评论

访问排行

Copyright © 2012-2014 恰考网 Inc. 保留所有权利。 Powered by tikuer.com

页面耗时0.0296秒, 内存占用1.03 MB, Cache:redis,访问数据库17次