某无息债券的面值为1 000元,期限为2年,发行价为880元,债券到期后按面值一次性偿还。该债券的复利到期收益率为( )。A. 5. 50% B. 6...

作者: rantiku 人气: - 评论: 0
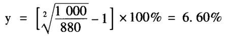
问题 某无息债券的面值为1 000元,期限为2年,发行价为880元,债券到期后按面值一次性偿还。该债券的复利到期收益率为( )。 A. 5. 50% B. 6. 00% C. 6. 60% D. 7. 12%
选项
答案 C
解析 【考点提示】本题是对债券到期收益率的计算公式的考查。 【精讲】 依据债券到期收益率的计算公式: 本题的最佳答案是C选项。

猜你喜欢

发表评论
更多 网友评论0 条评论)
暂无评论

访问排行

Copyright © 2012-2014 恰考网 Inc. 保留所有权利。 Powered by tikuer.com

页面耗时0.0324秒, 内存占用1.03 MB, Cache:redis,访问数据库17次