某公司上年年末支付每股股息为0.5元,预期回报率为15%,未来3年中超常态增长率为20%,随后的增长率保持为8%,则股票的内在价值为()。A.9....

作者: rantiku 人气: - 评论: 0
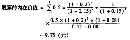
问题 某公司上年年末支付每股股息为0.5元,预期回报率为15%,未来3年中超常态增长率为20%,随后的增长率保持为8%,则股票的内在价值为 ()。 A.9.75元 B.8.50元 C.6.70元 D.5.90元
选项
答案 A
解析 计算如下: 【考点】掌握计算股票内在价值的不同股息增长率下的现金流贴现模型公式及应用。见教材第二章第三节,P49。

猜你喜欢

发表评论
更多 网友评论0 条评论)
暂无评论

访问排行

Copyright © 2012-2014 恰考网 Inc. 保留所有权利。 Powered by tikuer.com

页面耗时0.0419秒, 内存占用1.03 MB, Cache:redis,访问数据库18次