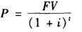
下列属于债券估值模型特性的是( )。A.零息债券的定价公式为B.附息债券可以视为一组零息债券的组合C.累息债券可多次付息D.零息债券以折价发行

作者: rantiku 人气: - 评论: 0
问题 下列属于债券估值模型特性的是( )。 A.零息债券的定价公式为 B.附息债券可以视为一组零息债券的组合 C.累息债券可多次付息 D.零息债券以折价发行
选项
答案 ABD
解析 【考点】熟悉债券估值模型。见教材第二章第二节,P33。

猜你喜欢

发表评论
更多 网友评论0 条评论)
暂无评论

访问排行

Copyright © 2012-2014 恰考网 Inc. 保留所有权利。 Powered by tikuer.com

页面耗时0.0306秒, 内存占用1.03 MB, Cache:redis,访问数据库18次