已知证券组合由A和B构成,证券A和B的期望收益分别为10%和5%,证券A和B的标准差分别为6%和2%,两种证券的相关系数为0.12,组合的方差为0.032...

作者: rantiku 人气: - 评论: 0
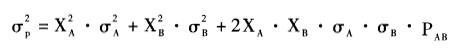
问题 已知证券组合由A和B构成,证券A和B的期望收益分别为10%和5%,证券A和B的标准差分别为6%和2%,两种证券的相关系数为0.12,组合的方差为0.0327,则该组合投资于证券B的比重为()。
选项 A:70% B:30% C:60% D:40%
答案 A
解析 根据公式,两证券组合的方差,并且XA+XB=1,将上述数据代入得XB=70%。

猜你喜欢

发表评论
更多 网友评论0 条评论)
暂无评论

访问排行

Copyright © 2012-2014 恰考网 Inc. 保留所有权利。 Powered by tikuer.com

页面耗时0.0286秒, 内存占用1.03 MB, Cache:redis,访问数据库18次