低附息债券比高附息债券的内在价值要高。()

作者: rantiku 人气: - 评论: 0
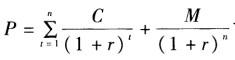
问题 低附息债券比高附息债券的内在价值要高。()
选项
答案
解析 由附息债券的定价公式。可知,低附息债券比高附息债券的内在价值低。

猜你喜欢

发表评论
更多 网友评论0 条评论)
暂无评论

访问排行

Copyright © 2012-2014 恰考网 Inc. 保留所有权利。 Powered by tikuer.com

页面耗时0.0376秒, 内存占用1.03 MB, Cache:redis,访问数据库19次