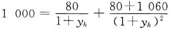
假定某投资者按1000元的价格购买了年利息收入为80元每年付息1次的债券,并持有2年后以1060元的价格卖出,那么该投资者的持有期收益率为()。A:6.5...

作者: rantiku 人气: - 评论: 0
问题 假定某投资者按1000元的价格购买了年利息收入为80元每年付息1次的债券,并持有2年后以1060元的价格卖出,那么该投资者的持有期收益率为()。
选项 A:6.53% B:8.91% C:10.85% D:14.21%
答案 C
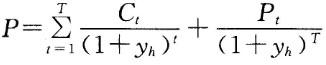
解析 债券的持有期收益率的计算公式为:式中:P——债券买入时价格,PT——债券卖出时价格,yh——持有期收益率,C——债券每期付息金额,T——债券期限(期数),t——现金流到达时间。将题中数据代人公式得:,解得yh=10.85%。

猜你喜欢

发表评论
更多 网友评论0 条评论)
暂无评论

访问排行

Copyright © 2012-2014 恰考网 Inc. 保留所有权利。 Powered by tikuer.com

页面耗时0.0465秒, 内存占用1.03 MB, Cache:redis,访问数据库18次