某无息债券的面值为1000元,期限为2年,发行价为880元,到期按面值偿还。该债券的到期收益率为()。A:6%B:6.6%C:12%D:13.2%

作者: rantiku 人气: - 评论: 0
问题 某无息债券的面值为1000元,期限为2年,发行价为880元,到期按面值偿还。该债券的到期收益率为()。
选项 A:6% B:6.6% C:12% D:13.2%
答案 B
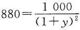
解析 债券的到期收益率的计算公式为:式中:P——债券价格;C——现金流金额;y——到期收益率;T——债券期限(期数);t——现金流到达时间(期)。将题中数据代入公式得:,得y=6.6%。

猜你喜欢

发表评论
更多 网友评论0 条评论)
暂无评论

访问排行

Copyright © 2012-2014 恰考网 Inc. 保留所有权利。 Powered by tikuer.com

页面耗时0.0357秒, 内存占用1.03 MB, Cache:redis,访问数据库17次