( )下,确定资产类别收益预期的计算公式是。 A.历史数据法 B.情景综合分析法 C.截面分析法 D.情景局部分析法

作者: rantiku 人气: - 评论: 0
问题 ( )下,确定资产类别收益预期的计算公式是。 A.历史数据法 B.情景综合分析法 C.截面分析法 D.情景局部分析法
选项
答案 B
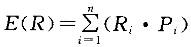
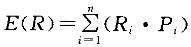
解析 情景综合分析法下,确定资产类别收益预期的计算公式为:。式中: Ri--i情形下的投资收益率;Pi--i情形发生的概率。

猜你喜欢

发表评论
更多 网友评论0 条评论)
暂无评论

访问排行

Copyright © 2012-2014 恰考网 Inc. 保留所有权利。 Powered by tikuer.com

页面耗时0.0692秒, 内存占用1.03 MB, Cache:redis,访问数据库19次