()确定资产类别收益预期的计算公式是:。A:历史数据法B:情景综合分析法C:截面分析法D:因素分析法

作者: rantiku 人气: - 评论: 0
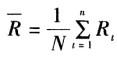
问题 ()确定资产类别收益预期的计算公式是:
选项 A:历史数据法 B:情景综合分析法 C:截面分析法 D:因素分析法
答案 A
解析 确定资产类别收益预期的主要方法包括历史数据法和情景综合分析法。历史数据法确定资产类别收益预期的计算公式是;情景综合分析法确定资产类别收益预期的计算公式是:E(R)=()。

猜你喜欢

发表评论
更多 网友评论0 条评论)
暂无评论

访问排行

Copyright © 2012-2014 恰考网 Inc. 保留所有权利。 Powered by tikuer.com

页面耗时0.0300秒, 内存占用1.03 MB, Cache:redis,访问数据库19次