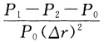
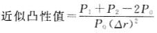
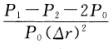
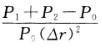
普通意义上的债券(也包括内含选择权的债券),近似凸性值的计算公式为()。A:近似凸性值=B:近似凸性值=C:近似凸性值=D:近似凸性值=

作者: rantiku 人气: - 评论: 0
问题 普通意义上的债券(也包括内含选择权的债券),近似凸性值的计算公式为()。
选项 A:近似凸性值= B:近似凸性值= C:近似凸性值= D:近似凸性值=
答案 D
解析 对于普通意义上的债券(也包括内含选择权的债券),可以用下面的公式来计算近似凸性值: 式中:P1——当收益率上升X个基本点时的价格;P2——当收益率下降X个基本点时的价格;P0——起始价格;△r——假定的收益率变化。

猜你喜欢

发表评论
更多 网友评论0 条评论)
暂无评论

访问排行

Copyright © 2012-2014 恰考网 Inc. 保留所有权利。 Powered by tikuer.com

页面耗时0.0436秒, 内存占用1.03 MB, Cache:redis,访问数据库17次