张先生计划向银行借款200万元,约定5年内按年利率10%均匀偿还,则他每年应还本付息的金额是( )万元。A.44.1B.47.7C.52.8D.40

作者: rantiku 人气: - 评论: 0
问题 张先生计划向银行借款200万元,约定5年内按年利率10%均匀偿还,则他每年应还本付息的金额是( )万元。
选项 A.44.1 B.47.7 C.52.8 D.40
答案 C
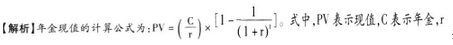
解析 表示利率,t表示时间。将题干中数据代入公式进

猜你喜欢

发表评论
更多 网友评论0 条评论)
暂无评论

访问排行

Copyright © 2012-2014 恰考网 Inc. 保留所有权利。 Powered by tikuer.com

页面耗时0.0306秒, 内存占用1.03 MB, Cache:redis,访问数据库19次