赵先生由于资金宽裕可向朋友借出200万元,甲、乙、丙、丁四个朋友计息方式各有不同,赵先生应该选择()。A、甲:年利率15%,每年计息一次B、乙:年利率...

作者: rantiku 人气: - 评论: 0
问题 赵先生由于资金宽裕可向朋友借出200万元,甲、乙、丙、丁四个朋友计息方式各有不同,赵先生应该选择()。
选项 A、甲:年利率15%,每年计息一次 B、乙:年利率14.7%,每季度计息一次 C、丙:年利率14.3%,每月计息一次 D、丁:年利率14%,连续复利
答案 B
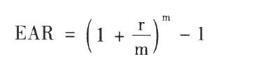
解析 不同复利期间投资的年化收益率称为有效年利率(EAR)。名义年利率r与有效年利率EAR之间的换算即为: 不同复利期间投资的年化收益率称为有效年利率(EAR)。名义年利率r与有效年利率EAR之间的换算即为:

猜你喜欢

发表评论
更多 网友评论0 条评论)
暂无评论

访问排行

Copyright © 2012-2014 恰考网 Inc. 保留所有权利。 Powered by tikuer.com

页面耗时0.0324秒, 内存占用1.03 MB, Cache:redis,访问数据库19次