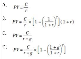
下列公式中,属于期初年金现值公式的是( )

作者: rantiku 人气: - 评论: 0
问题 下列公式中,属于期初年金现值公式的是( )
选项
答案 B
解析 期末)年金现值的公式为:

猜你喜欢

发表评论
更多 网友评论0 条评论)
暂无评论

访问排行

Copyright © 2012-2014 恰考网 Inc. 保留所有权利。 Powered by tikuer.com

页面耗时0.0381秒, 内存占用1.03 MB, Cache:redis,访问数据库15次