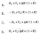
用DA表示总资产的加权平均久期,VA表示总资产,R为市场利率,当市场利率变动AR时,资产的变化可表示为(  )。

作者: rantiku 人气: - 评论: 0
问题 用DA表示总资产的加权平均久期,VA表示总资产,R为市场利率,当市场利率变动
选项 AR时,资产的变化可表示为(  )。
答案 C
解析 用DA表示总资产的加权平均久期,DL表示总负债的加权平均久期,VA表示总资产,VL表示总负债,R为市场利率,当市场利率变动时,资产和负债的变化可表示 为:△VA=-[DA*VA*△R/(1+R)],△V1=-[D1*V1*△R/(1+R)]。

猜你喜欢

发表评论
更多 网友评论0 条评论)
暂无评论

访问排行

Copyright © 2012-2014 恰考网 Inc. 保留所有权利。 Powered by tikuer.com

页面耗时0.0433秒, 内存占用1.03 MB, Cache:redis,访问数据库18次