套利定价模型的应用( )Ⅰ.运用统计分析模型对证券的历史数据进行分析Ⅱ.确定影响证券收益的因素Ⅲ.以分离统计上显著影响证券收益的主要因素, 回...

作者: rantiku 人气: - 评论: 0
问题 套利定价模型的应用( ) Ⅰ.运用统计分析模型对证券的历史数据进行分析 Ⅱ.确定影响证券收益的因素 Ⅲ.以分离统计上显著影响证券收益的主要因素, 回归证券历史数据以获得灵敏度系数预测证券的收益。
选项 A、Ⅰ.Ⅱ.Ⅳ B、Ⅰ.Ⅱ.Ⅲ C、Ⅰ.Ⅲ D、Ⅰ.Ⅱ.Ⅲ.Ⅳ
答案 D
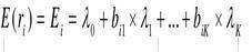
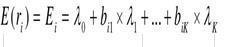
解析 套利定价模型的应用 ⑴运用统计分析模型对证券的历史数据进行分析, 以分离统计上显著影响证券收益的主要因表。 (2)确定影响证券收益的因表, 回归证券历史数据以获得灵敏度系数, 再运用公式预测证券收益。

猜你喜欢

发表评论
更多 网友评论0 条评论)
暂无评论

访问排行

Copyright © 2012-2014 恰考网 Inc. 保留所有权利。 Powered by tikuer.com

页面耗时0.0385秒, 内存占用1.03 MB, Cache:redis,访问数据库20次