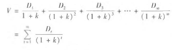
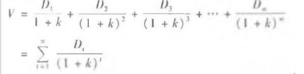
关于股息贴现模型一般公式为下列说法无错的有( )。Ⅰ.根据公式,可以引出净现值的概念,但净现值(IIPV)不一定等于内在价值(V)Ⅱ.式中...

作者: rantiku 人气: - 评论: 0
问题 关于股息贴现模型一般公式为 下列说法无错的有( )。 Ⅰ.根据公式,可以引出净现值的概念,但净现值(IIPV)不一定等于内在价值(V) Ⅱ.式中:V是时期t末以现金形式表示的每股股息 Ⅲ.式中:Dt是股票在期初的内在价值 Ⅳ.式中:K为一定风险程度下现金流的适合贴现率,即必要收益率
选项 A、Ⅱ.Ⅲ.Ⅳ B、Ⅰ.Ⅲ.Ⅳ C、Ⅰ.Ⅱ.Ⅳ D、Ⅰ.Ⅱ.Ⅲ
答案 D
解析 一般公式 股息贴现模型式中:V—股票在期初的内在价值;Dt—时期t末以现金形式表示的每股股息;K—一定风险程度下现金流的适合贴现率,即必要收益率适合贴现率,即必要收益率。 根据公式,可以引出净现值的概念。净现值(NPV)等于内在价值(V)。

猜你喜欢

发表评论
更多 网友评论0 条评论)
暂无评论

访问排行

Copyright © 2012-2014 恰考网 Inc. 保留所有权利。 Powered by tikuer.com

页面耗时0.0223秒, 内存占用1.03 MB, Cache:redis,访问数据库17次