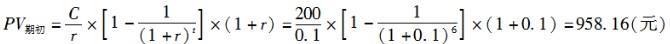
6年分期付款购物,每年初付200元,设银行利率为10%,该项分期付款相当于购价为( )元的一次现金支付。A、958.16 B、1018.20 C、1...

作者: tihaiku 人气: - 评论: 0
问题 6年分期付款购物,每年初付200元,设银行利率为10%,该项分期付款相当于购价为( )元的一次现金支付。
选项 A、958.16 B、1018.20 C、1200.64 D、1354.32
答案 A
解析 根据年金现值公式,可知:

相关内容:购物,200元,银行,利率,购价,现金,支付,958.16,1018.20

猜你喜欢

发表评论
更多 网友评论0 条评论)
暂无评论

访问排行

Copyright © 2012-2014 恰考网 Inc. 保留所有权利。 Powered by tikuer.com

页面耗时0.0522秒, 内存占用1.05 MB, Cache:redis,访问数据库20次