关于现值和终值,下列说法错误的是( )。A、随着复利计算频率的增加,实际利率增加,现金流量的现值增加 B、期限越长,利率越高,终值就越大 C、货币投...

作者: tihaiku 人气: - 评论: 0
问题 关于现值和终值,下列说法错误的是( )。
选项 A、随着复利计算频率的增加,实际利率增加,现金流量的现值增加 B、期限越长,利率越高,终值就越大 C、货币投资的时间越早,在一定时期期末所积累的金额就越高 D、利率越低或年金的期间越长,年金的现值越大
答案 A
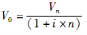
解析 单利现值计算公式为:
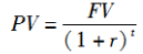
复利现值的计算公式为:
在该公式中可以看到,现金流量与复利的计算频率呈反向关系,也就是说,随着复利计算频率的增加,现金流量的现值在减小。

相关内容:现值,说法,错误,复利,频率,实际,利率,现金流量,期限,越长,货币

猜你喜欢

发表评论
更多 网友评论0 条评论)
暂无评论

访问排行

Copyright © 2012-2014 恰考网 Inc. 保留所有权利。 Powered by tikuer.com

页面耗时0.0451秒, 内存占用1.04 MB, Cache:redis,访问数据库17次