下列公式中,属于期初年金现值公式的是( ) A、 B、 C、 D、

作者: tihaiku 人气: - 评论: 0
问题 下列公式中,属于期初年金现值公式的是( ) A、 B、 C、 D、
选项
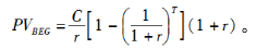
答案 B
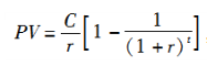
解析 (期末)年金现值的公式为:
, 期初年金现值等于期末年金现值的(1+r)倍即:

相关内容:公式,年金,现值

猜你喜欢

发表评论
更多 网友评论0 条评论)
暂无评论

访问排行

Copyright © 2012-2014 恰考网 Inc. 保留所有权利。 Powered by tikuer.com

页面耗时0.0306秒, 内存占用1.03 MB, Cache:redis,访问数据库13次