张女士分期购买一辆汽车,每年年末支付10000元,分5次付清,假设年利率为5%,则该项分期付款相当于现在一次性支付( )元。A、55265 B、432...

作者: tihaiku 人气: - 评论: 0
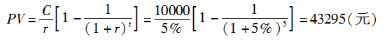
问题 张女士分期购买一辆汽车,每年年末支付10000元,分5次付清,假设年利率为5%,则该项分期付款相当于现在一次性支付( )元。
选项 A、55265 B、43259 C、43295 D、55256
答案 C
解析 根据年金现值的公式,该项分期付款的现金流的现值为:

相关内容:张女士,女士,分期,汽车,支付,10000元,假设,年利率,432...

猜你喜欢

发表评论
更多 网友评论0 条评论)
暂无评论

访问排行

Copyright © 2012-2014 恰考网 Inc. 保留所有权利。 Powered by tikuer.com

页面耗时0.0497秒, 内存占用1.05 MB, Cache:redis,访问数据库20次