股息贴现模型的一般公式为为,以下说法无误的是( )。 Ⅰ.式中:V是股票在期初的内在价值 Ⅱ.式中:Dt是时期t末以现金形式表示的每股股息 Ⅲ.式中...

作者: tihaiku 人气: - 评论: 0
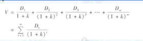
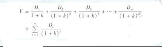
问题 股息贴现模型的一般公式为为
,以下说法无误的是( )。 Ⅰ.式中:V是股票在期初的内在价值 Ⅱ.式中:Dt是时期t末以现金形式表示的每股股息 Ⅲ.式中:K是一定风险程度下现金流的适合贴现率 Ⅳ.适合贴现率也叫必要收益率 Ⅴ.根据公式,可以引出净现值的概念.但净现值(NPV)不一定等于内在价值(V)
选项 A、Ⅰ.Ⅱ.Ⅲ.Ⅳ.Ⅴ B、Ⅰ.Ⅱ.Ⅳ.Ⅴ C、Ⅰ.Ⅲ.Ⅳ.Ⅴ D、Ⅰ.Ⅱ.Ⅲ.Ⅳ
答案 D
解析 股息贴现模型的一般公式
式中;V一股票在期初的内在价值;Dt一时期t末以现金形式表示的每股股息;K一定风险程度下现金流的适合贴现率,即必要收益率。根据公式,可以引出净现值的概念.净现值(NPV)等于内在价值(V).

相关内容:股息,贴现,模型,公式,说法,无误,式中,股票,内在,价值,时期,现金,形式

猜你喜欢

发表评论
更多 网友评论0 条评论)
暂无评论

访问排行

Copyright © 2012-2014 恰考网 Inc. 保留所有权利。 Powered by tikuer.com

页面耗时0.0325秒, 内存占用1.05 MB, Cache:redis,访问数据库19次