下列公式不正确的是( )。A.杜邦恒等式为:净资产收益率=销售利润率×总资产周转率×权益乘数 B.费雪方程式可以表述为:实际利率=名义利率-通货膨胀率 ...

作者: tihaiku 人气: - 评论: 0
问题 下列公式不正确的是( )。
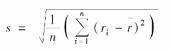
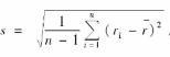
选项 A.杜邦恒等式为:净资产收益率=销售利润率×总资产周转率×权益乘数 B.费雪方程式可以表述为:实际利率=名义利率-通货膨胀率 C.远期利率可以由两个即期利率决定,公式为:f=(1+s2)2/(1+s1)-1 D.样本标准差的计算公式为
答案 D
解析 D项,样本标准差的计算公式应为

相关内容:公式,杜邦,恒等式,净资产,收益率,销售,利润率,总资产,周转率,权益,乘数,费雪,方程式,表述,实际,利率,名义,通货膨胀率

猜你喜欢

发表评论
更多 网友评论0 条评论)
暂无评论

访问排行

Copyright © 2012-2014 恰考网 Inc. 保留所有权利。 Powered by tikuer.com

页面耗时0.0329秒, 内存占用1.04 MB, Cache:redis,访问数据库20次