票面金额为100元的3年期债券,票面利率5%,每年付息一次,当前市场价格为90元,则该债券的到期收益率是()。A.1.7235% B.5.0556% ...

作者: tihaiku 人气: - 评论: 0
问题 票面金额为100元的3年期债券,票面利率5%,每年付息一次,当前市场价格为90元,则该债券的到期收益率是()。
选项 A.1.7235% B.5.0556% C.5% D.8.9468%
答案 D
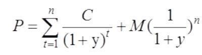
解析 债券市场价格和到期收益率的关系式为: 式中:到期收益率一般用y表示;P表示债券市场价格;C表示每期支付的利息;n表示时期数;M表示债券面值。根据计算公式得: 90=5/(1+y)+5/(1+y)2+105/(1+y)3,解得,到期收益率y≈8.9468%。

相关内容:票面,金额,100元,年期,债券,利率,市场价格,到期,收益率,A.1.7235%,B.5.0556%

猜你喜欢

发表评论
更多 网友评论0 条评论)
暂无评论

访问排行

Copyright © 2012-2014 恰考网 Inc. 保留所有权利。 Powered by tikuer.com

页面耗时0.0381秒, 内存占用1.04 MB, Cache:redis,访问数据库17次