票面金额为1000元的2年期债券,每年支付利息100元,到期收益率为6%,则市场价格为()。A.107.33元 B.1073.3元 C.984.39元...

作者: tihaiku 人气: - 评论: 0
问题 票面金额为1000元的2年期债券,每年支付利息100元,到期收益率为6%,则市场价格为()。
选项 A.107.33元 B.1073.3元 C.984.39元 D.1132.1元
答案 B
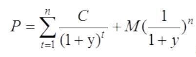
解析 债券市场价格和到期收益率的关系式为: 式中,P表示债券市场价格;C表示每期支付的利息;n表示时期数;M表示债券面值。则市场价格为:P=100/(1+6%)+(100+1000) /(1+6%)2≈1073.3(元)。

相关内容:票面,金额,1000元,年期,债券,支付,利息,100元,到期,收益率,市场价格,A.107.33,B.1073.3,C.984.39

猜你喜欢

发表评论
更多 网友评论0 条评论)
暂无评论

访问排行

Copyright © 2012-2014 恰考网 Inc. 保留所有权利。 Powered by tikuer.com

页面耗时0.0431秒, 内存占用1.05 MB, Cache:redis,访问数据库20次