某投资者签订了一份期限为9个月的沪深300指数远期合约,该合约签订时沪深300指数为2000点,年股息连续收益率为3%,无风险连续利率为6%,则该远期合约...

作者: rantiku 人气: - 评论: 0
问题 某投资者签订了一份期限为9个月的沪深300指数远期合约,该合约签订时沪深300指数为2000点,年股息连续收益率为3%,无风险连续利率为6%,则该远期合约的理论点位为()。
选项 A、2015.5 B、2045.5 C、2455.5 D、2055
答案 B
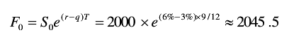
解析 合约签订时该远期合约的理论点位FO为:

猜你喜欢

发表评论
更多 网友评论0 条评论)
暂无评论

访问排行

Copyright © 2012-2014 恰考网 Inc. 保留所有权利。 Powered by tikuer.com

页面耗时0.0849秒, 内存占用1.03 MB, Cache:redis,访问数据库19次