资本市场线(CML)以预期收益和标准差为坐标轴的平面上,表示风险资产的最优组合与一种无风险资产再组合的组合线。下列各项中属于资本市场线方程中的参数是()。...

作者: rantiku 人气: - 评论: 0
问题 资本市场线(CML)以预期收益和标准差为坐标轴的平面上,表示风险资产的最优组合与一种无风险资产再组合的组合线。下列各项中属于资本市场线方程中的参数是()。 Ⅰ.市场组合的期望收益率 Ⅱ.无风险利率 Ⅲ.市场组合的标准差 Ⅳ.风险资产之间的协方差
选项 A、Ⅰ、Ⅱ、Ⅲ B、Ⅱ、Ⅲ、Ⅳ C、Ⅰ、Ⅱ、Ⅳ D、Ⅰ、Ⅱ、Ⅲ、Ⅳ
答案 A
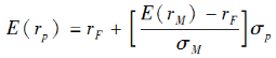
解析 资本市场线(CML)方程如下:, 其中,E(rP)为有效组合P的期望收益率;σP为有效组合P的标准差;E (rM)为市场组合M的期望收益率;σM为市场组合M的标准差;rF为无风险证券收益率。

猜你喜欢

发表评论
更多 网友评论0 条评论)
暂无评论

访问排行

Copyright © 2012-2014 恰考网 Inc. 保留所有权利。 Powered by tikuer.com

页面耗时0.0369秒, 内存占用1.03 MB, Cache:redis,访问数据库19次