则无红利标的资产期权定价公式是()。A、Ⅰ.Ⅱ.ⅢB、Ⅰ.Ⅲ.ⅣC、Ⅰ.ⅣD、Ⅱ.Ⅲ.Ⅳ

作者: rantiku 人气: - 评论: 0
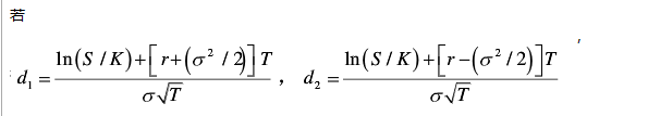
问题无红利标的资产期权定价公式是()。
选项 A、Ⅰ.Ⅱ.Ⅲ B、Ⅰ.Ⅲ.Ⅳ C、Ⅰ.Ⅳ D、Ⅱ.Ⅲ.Ⅳ
答案 C
解析 无收益资产欧式看涨期权C(看跌期权P)的定价公式为: 其中,N(d):标准正态概率值(具体值可以查正态概率值表),N(-d)=l-N(d)。

猜你喜欢

发表评论
更多 网友评论0 条评论)
暂无评论

访问排行

Copyright © 2012-2014 恰考网 Inc. 保留所有权利。 Powered by tikuer.com

页面耗时0.0370秒, 内存占用1.03 MB, Cache:redis,访问数据库18次