某国债期货的而值为100元、息票率为6%,全价为99元,半年付息一次,计划付息的现值为2.96元。若无风险利率为5%,则6个月后到期的该国债期货理论价值约...

作者: rantiku 人气: - 评论: 0
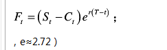
问题 某国债期货的而值为100元、息票率为6%,全价为99元,半年付息一次,计划付息的现值为2.96元。若无风险利率为5%,则6个月后到期的该国债期货理论价值约为()元。(参考公式:
选项 A、98.47 B、98.77 C、97.44 D、101.51
答案 A
解析 根据公式,6个月后到期的该国债期货理论价值:

猜你喜欢

发表评论
更多 网友评论0 条评论)
暂无评论

访问排行

Copyright © 2012-2014 恰考网 Inc. 保留所有权利。 Powered by tikuer.com

页面耗时0.0347秒, 内存占用1.03 MB, Cache:redis,访问数据库19次