回归系数βi在(1-α)%的置信水平下的置信区间为( )。

作者: rantiku 人气: - 评论: 0
问题 回归系数βi在(1-α)%的置信水平下的置信区间为( )。
选项
答案 B
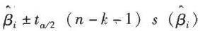
解析 除了对回归系数进行检验外,还可以求出各回归系数的置信区间。一般回归系数βi在(1-α)%的置信水平下的置信区间为: 其中, 为回归系数估计值,n为样本数,k为自变量个数。

猜你喜欢

发表评论
更多 网友评论0 条评论)
暂无评论

访问排行

Copyright © 2012-2014 恰考网 Inc. 保留所有权利。 Powered by tikuer.com

页面耗时0.0360秒, 内存占用1.03 MB, Cache:redis,访问数据库14次