下列对t检验说法正确的是( )。Ⅰ.t值的正负取决于回归系数β0Ⅱ.样本点的x值区间越窄,t值越小Ⅲ.t值变小,回归系数估计的可靠性就降低...

作者: rantiku 人气: - 评论: 0
问题 下列对t检验说法正确的是( )。 Ⅰ.t值的正负取决于回归系数β0 Ⅱ.样本点的x值区间越窄,t值越小 Ⅲ.t值变小,回归系数估计的可靠性就降低 Ⅳ.t值的正负取决于回归系数β1
选项 A、Ⅰ.Ⅱ.Ⅳ B、Ⅰ.Ⅲ.Ⅳ C、Ⅱ.Ⅲ.Ⅳ D、Ⅰ.Ⅱ.Ⅲ
答案 C
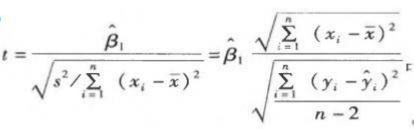
解析 进行t检验时需注意下面三点:①t值的正负取决于回归系数β1 ,如果X和Y的关系相反,回归系数β1和t将是负数。在检验回归系数β1的显著性时,t的正负并不重要,关注t的绝对值;② 中的s项会确保t值随着偏差平方和 的増加而减小;③样本点的x值区间越窄,t值越小。甶于t值变小,所以回归系数估计的可靠性就降低。

猜你喜欢

发表评论
更多 网友评论0 条评论)
暂无评论

访问排行

Copyright © 2012-2014 恰考网 Inc. 保留所有权利。 Powered by tikuer.com

页面耗时0.0380秒, 内存占用1.03 MB, Cache:redis,访问数据库20次