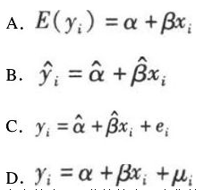
一元线性叫归模型的总体回归直线可表示为(  )。

作者: rantiku 人气: - 评论: 0
问题 一元线性叫归模型的总体回归直线可表示为(  )。
选项
答案 A
解析 A。对一元回归方程 对应的直线上,这条直线即为总体回归直线(或理论回归直线)。

猜你喜欢

发表评论
更多 网友评论0 条评论)
暂无评论

访问排行

Copyright © 2012-2014 恰考网 Inc. 保留所有权利。 Powered by tikuer.com

页面耗时0.0408秒, 内存占用1.03 MB, Cache:redis,访问数据库20次