某地拟于2012年兴建一座工厂,年生产某种产品50万t。已知2009年在另一地区已建类似工厂,年生产同类产品30万t,投资5.43亿元。若综合调整系数为1...

作者: rantiku 人气: - 评论: 0
问题 某地拟于2012年兴建一座工厂,年生产某种产品50万t。已知2009年在另一地区已建类似工厂,年生产同类产品30万t,投资5.43亿元。若综合调整系数为1.5,用单位生产能力估算法计算拟建项目的投资额应为()亿元。
选项 A:6.03 B:9.05 C:13.58 D:18.10
答案 C
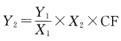
解析 本题考核的是单位生产能力估算法计算拟建项目的投资额。单位生产能力估算法计算公式为:,式中Y2表示拟建项目的投资额;Y1表示已建类似项目的投资额;X1表示已建类似项目的生产能力;X2表示拟建项目的生产能力;CF表示不同时期、不同地点的定额、单价、费用变更等的综合调整系数。本题的计算过程为:拟建项目的投资额=5.43亿元/30万t*50万t*1.5=13.58亿元。

猜你喜欢

发表评论
更多 网友评论0 条评论)
暂无评论

访问排行

Copyright © 2012-2014 恰考网 Inc. 保留所有权利。 Powered by tikuer.com

页面耗时0.0543秒, 内存占用1.03 MB, Cache:redis,访问数据库13次